読谷村教育委員会が保有する沖縄戦後教育史・
復帰関連資料のデータベースです。
沖縄戦後教育史・復帰関連資料とは
|
よくある質問
|
沖縄戦後教育史・復帰関連資料(写真)
年代を指定しない
==========
1940年代
1950年代
1960年代
1970年代
1980年代
1990年代
2000年代
2010年代
年代不明
年を指定しない
==========
1940年
1941年
1942年
1943年
1944年
1945年
1946年
1947年
1948年
1949年
1950年
1951年
1952年
1953年
1954年
1955年
1956年
1957年
1958年
1959年
1960年
1961年
1962年
1963年
1964年
1965年
1966年
1967年
1968年
1969年
1970年
1971年
1972年
1973年
1974年
1975年
1976年
1977年
1978年
1979年
1980年
1981年
1982年
1983年
1984年
1985年
1986年
1987年
1988年
1989年
1990年
1991年
1992年
1993年
1994年
1995年
1996年
1997年
1998年
1999年
2000年
2001年
2002年
2003年
2004年
2005年
2006年
2007年
2008年
2009年
2010年
ジャンルを指定しない
==========
小学校
中学校
高校
学校
教公二法
年金
役員
教科書
委員会
論文
総会
組合
公文書
台本
教具
受付簿
行事
沖縄戦
琉球政府
名簿
予算
日の丸
大会
アンケート
安保
PTA
書類綴
文書綴
要請
校長
募金
軍用
非行
給与
新聞
屋良(復帰)
雑文
学級
青年部
人
主任制
指導
見積書
会計
学校
復興
注文書
議事録
校舎
基地
教研
労働運動
青少年
組織
地区
懇談会
闘争
支那
中頭
主事
教員
生徒
児童
施設
米軍
犯罪
育成
活動
実態調査
調査
声明
教職員
理事会
婦人
契約書
講和前
僻地
天皇
経済
事務員
専徒
書名
リポート
テスト
沖縄振興
戦争
連合
障害児
幼稚園
卒業
入学
学習
教室
祖国
子ども
軍
平和
公害
問題
事件
民政府
琉球
会館
資料
会議
宣言
撤回
推薦
図書
日米
革新
色紙
労働
日教組
教文部
部落
原水爆
伝票
給与
領収
分科会
県民集会
国体
差別
報告書
文部省
初任
研修
歴史
高教組
読谷
国語
算数
年金
成績
毒ガス
自衛隊
日誌
風疹
教育
復帰
屋良朝苗
教公二法
沖縄戦
琉球政府
新聞
主任制
復興
教科書
Home
>
検索結果
> 国際連合憲章
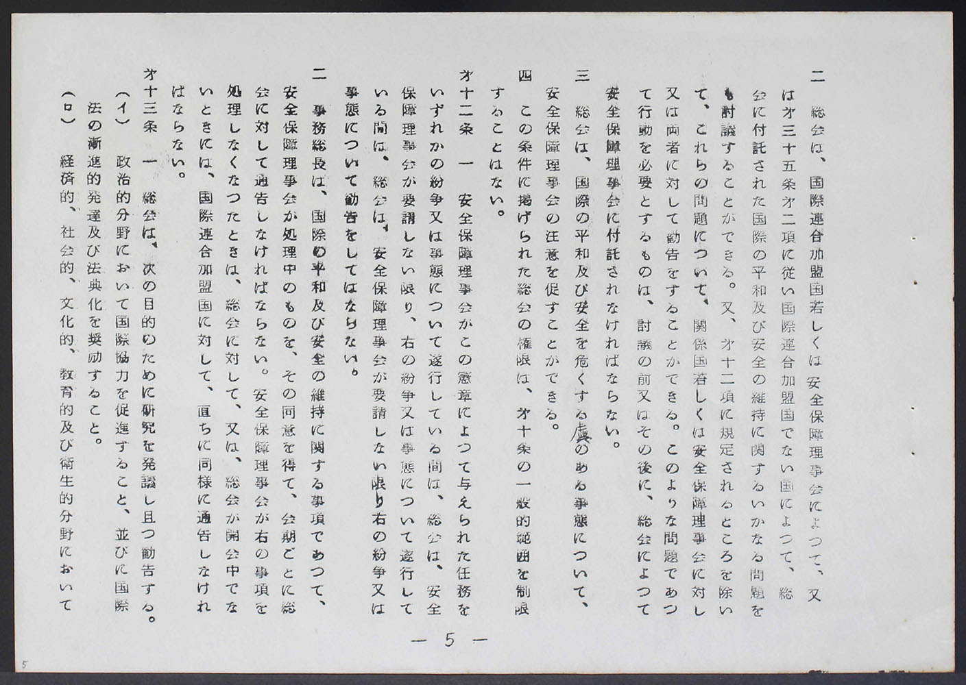
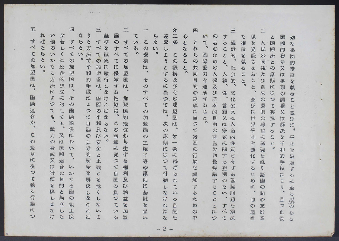
国際連合憲章
IDs
02907
作成年月日
1945年
作成機関・発行者
-
綴り方法・状態
右ホチキス綴じ
サイズ(縦・横cm)
18.2×25.8
頁・枚数
29
ファイルボックス番号
367
サイズ(A4・B4)
A4
※画像は、本文から一部を抜粋したものです。
▲
このページの先頭に戻る
沖縄戦後教育史・復帰関連資料とは
|
よくある質問
|
読谷村教育委員会文化振興課読谷村史編集室
©
読谷村
All Rights Reserved.